1.1 ENERGIE SOLAIRE
2. Absorption de la lumière
H20, CO2, 03, 02,...
3. Diffusion de la lumière :
série de réflexions/réfractions
4. Epaisseur atmosphérique percue
d :
Exercice 1.1.2 : d
= H / sin(theta)
(H épaisseur
moyenne de l'atmosphère)
Exercice 1.1.3: Determiner la loi de Lambert et de celle de l'épaisseur atmosphérique perçue, en fonction de la latitude (on s'aidera de l'angle "latitude+saison"), représenter la distribution de l'énergie solaire ayant traversé l'atmosphère, sur une carte en fonction de la longitude et la latitude, en hiver et en été.
5. Nébulosité:
Exercice 1.1.4: Comparer
et commenter la distribution climatologique réelle d'énergie solaire au niveau
de la surface de la terre (Figure 1.1)
en identifiant les structures principales ainsi que leur variabilité
saisonnière. Estimer la nébulosité à partir des
anomalies par bande de latitude visible sur la distribution de l'énergie
à la surface de la terre (valeurs déduites des données
satellitales International Satellite Cloud Cover Project ISCCP) Figure 1.1 noir et blanc
Note= Une climatologie est une moyenne effectuée sur plusieurs années.
1.2 CYCLE DE L’EAU ATMOSPHERIQUE
Exercice 1.2.1: Comparer et commenter les champs de nébulosité climatologique réelle déduits des données ISCCP (Figure 1.2.1), puis identifier les structures principales ainsi que leur variabilité saisonnière.
Exercice 1.2.2: Commenter les champs de précipitations climatologique (Figure 1.2.2), en comparant d'abord avec la figure précédente, puis en identifiant les structures principales ainsi que leur variabilité saisonnière.
1.3 CHAMP DE PRESSION ET VENTS A LA SURFACE
Exercice 1.3.2: Commenter le champ de pression réel (Figure 1.3.2) en comparant d'abord avec votre estimation, puis en identifiant les structures principales ainsi que leur variabilité saisonnière.
Attention !, meme si les
BP sont généralement dues à des hautes températures
de surface, et les HP à des basses températures de surface,
ce n'est pas tjs le cas : ainsi les anticyclones tropicaux-subtropicaux
sont dus aux mouvements de subsidence des cellules de hadley, et les dépressions
de moyennes latitudes sont seulement la zone de transition entre les HP
des anticyclones subtropicaux et les HP polaires.
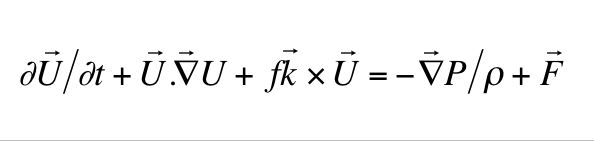
-Equation de la vitesse horizontale
des fluides geophysiques :
avec f le
facteur de coriolis, P la pression, r la densité,
et F un ensemble de forces de frottement.
-Modèles de circulation
Cette équation et d'autres sont
utilisées dans les modèles de climat, pour chaque maille d'espace,
dont l'empilement forme le domaine que l'on veut simuler. On prévoit
la vitesse (ou bien la température, les précipitations, etc)
au temps t+1 à partir du temps t en résolvant l'équation
différentielle en temps.
Par ex. si on ne retient pour l'exemple que la dérivée temporelle
et les forces de pression et frottement dans l'équation ci-dessus,
on obtiendrait la vitesse en t+1, pour une maille donnée, en écrivant
l'équation (simplifiée) sous cette forme :
[ U(t+1)-U(t) ] / 1 = - [
P(x+1)-P(x) ] /r+ F
Ce qui donne alors U(t+1) = - [
P(x+1)-P(x) ] /r+ F +U(t)
Le calcul sur ordinateur donne donc la vitesse au temps suivant,
à partir du champ de pression, des forces de frottement, et de
la vitesse au
temps précédent. On répète ce type de
calcul pour simuler des périodes longues, en prenant bien sur en
compte les
changements du champ de pression et des frottements, qui
évoluent aussi dans le temps.
Note : l'équilibre géostrophique correspond
à l'égalité entre le 3e terme à gauche de
l'égalité (la force de Coriolis) et le gradient de
pression à droite.
Exercice 1.3.4: Comparer, et commenter les structures des vents réels de surface (figure 1.3.4) , interpreter les différences. Puis représenter des trajectoires sur plusieurs jours, en 3 dimensions (on considerera que les vents à la tropopause, qui forment les branches de retour, sont orientés en sens inverse des vent de surface)
Exercice 1.3.5: Interpreter
les structures d'enroulement visibles sur les images satellites figure 1.3.5 en terme de géostrophie,
et des frottements entre particules d'air qui permettent de s'écarter
légèrement de la géostrophie pour combler les dépressions
(ou vider les HP)
2.1 COURANTS DE LA COUCHE DE MELANGE
-L'équilibre d'Ekman
Les courants d'Ekman résultant de l' équilibre de la friction du vent et de la force de Coriolis dominent la circulation dans la couche de mélange
Exercice 2.1.1: Tracer les vecteurs courants d'Ekman (en moyenne verticale sur la couche d'Ekman) sur la figure 1.3.4
Exercice 2.1.2: Comparer vos estimations avec le champs de courant total dans la couche de mélange du modèle d'océan de l'IPSL figure 2.1.2, et interpreter les différences en considérant, comme pour la géostrophie, les variations de la force de Coriolis.
2.2 UPWELLINGS/DOWNWELLINGS
-Mouvements verticaux à la base de la couche de mélange, et surface de la mer
Ces mouvements verticaux sont générés par les courants d'Ekman ( en surface) et transfèrent les masses d'eau entre la couche de mélange et la thermocline. Ils sont associés à des élévations positives ou négatives de la surface de la mer.
Exercice 2.2: Tracer avec précision les zones d'uwpellings et downwellings sur la figure 2.1.2 , puis estimer les zones d'élévations positives ou négatives de la surface de la mer. Comparer vos upwellings avec ceux du cours.
2.3 COURANTS GEOSTROPHIQUES
-Champ de pression et courants dans la thermocline
Les différences d'élévation de la mer, générées en premier lieu par la divergence des courants d'Ekman, sont associées à des différences de quantité d'eau accumulées la colonne d'eau. A une profondeur donnée dans la thermocline, il y aura donc des différences de poids, et donc de pression. Noter que l'on néglige ici les différences de densité entre colonnes (température / salinité), qui possèdent une effet de deuxième ordre.
Les courants en équilibre géostrophiques dominent la circulation dans la thermocline (bien sur, loin des régions ou la géostrophie n'est pas vérifiée)
Exercice 2.3.1: Estimer grossièrement, sur la figure précédente, les grands courants géostrophiques dans la thermocline, et comparer avec le schéma du cours montrant les principaux upwellings côtiers et leur alimentation par les courants de subsurface
Exercice 2.3.2: Comparer avec vos estimations, puis commenter et interpreter les cartes de divergence et d'élévation de la mer (par rapport au niveau zéro) simulées par le modèle d'océan de l'IPSL figure 2.3.2.
Exercice 2.3.3: Tracer précisément les courants géostrophiques de la thermocline à partir de la carte de hauteur de la mer. Déduire, par simple continuité du transport horizontal, les principaux courants de bord comme le Gulf Stream, le Kuro-Shio, et autres.
Discuter les grands traits de la circulation dans la thermocline, comparer avec les courants présentés dans le cours (en déduire la nature -Ekman ou géostrophique- de ces derniers).Exercice 2.3.4: Sur la figure 2.1.2 représenter plusieurs trajectoires de particules d'eau sur plusieurs années dans l'océan supérieur (constitué de la couche de mélange et la thermocline), en 3 dimensions. Deux types de trait seront utilisés pour les déplacements de surface et ceux de la thermocline, en prenant en compte les mouvements verticaux.
2.4 TEMPERATURE ET SALINITE DE SURFACE
Exercice 2.4.1: Discuter les cartes climatologiques de distribution de température, figure 2.4.1(janvier et juillet, N.B. les températures continentale sont erronnées) en fonction de ces facteurs, notamment la latitude et les upwellings.
Exercice 2.4.2: Discuter la carte climatologique de distribution annuelle de salinité, figure 2.4.2.
2.5 LA CIRCULATION THERMOHALINE